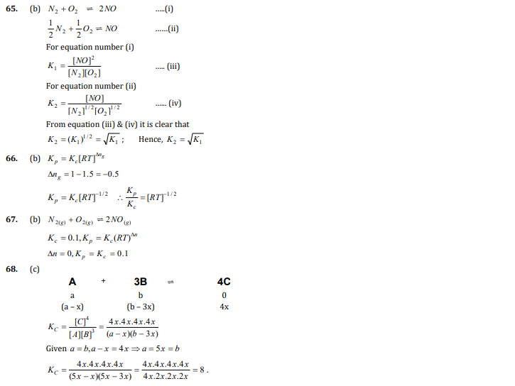
Chemical Equilibrium - Questions - JEE/NEET
Equilibrium State
Law of Mass action
Law of equilibrium and Equilibrium constant
Kp & Kc Relationship and Characteristics of K
Activation energy, Standard free energy and
Degree of dissociation and Vapour density
Le-Chaterlier principle and It’s application
Critical Objective Thinking Questions
Assertion and Reason
For AIIMS Aspirants Reason
Solutions
You might find these helpful
No comments:
Post a Comment