Chemistrixx

Nitrogen family - JEE / NEET

Nitrogen family 

Answers 


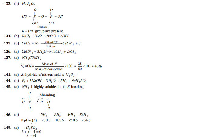
Solutions 


Email ThisBlogThis!Share to XShare to FacebookShare to Pinterest
Labels: books for NEET, Chemistry, IMP questions, Important, JEE, JEE Mains, NEET

No comments:

Post a Comment

Newer Post Older Post Home
Subscribe to: Post Comments (Atom)

You might find these helpful

  • Organic reagent list
  • Chemical bonding | Lewis approach | CBSE 11 | Notes
  • Notes and Practice questions | Grade 11 | IIT JEE
  • Aldehydes and Ketones - Questions - JEE (Mains/Advanced)
  • Dimensional analysis-Some basic concepts of chemistry
  • Co-Ordination Compounds - Theory - JEE (Mains/Advanced)
  • Best books for NEET
  • Notes and Practice questions | Grade 12 | IIT JEE
  • General Organic Chemistry notes (GOC) for JEE and NEET - 1
  • Chemistry Notes and Books - CBSE/IIT JEE/ NEET

SEARCH

Join us for more notes and Video Lectures

  • FaceBook page
  • Yout Tube Channel

IMPORTANT notes and Worksheets

  • Notes and Practice questions | Grade 11 | IIT JEE
  • Notes and Practice questions | Grade 12 | IIT JEE
  • Organic reagent list
  • Download free reference books - IIT JEE Mains and Advanced
  • Best books for JEE mains
  • Best books for NEET
  • General Organic Chemistry notes (GOC) for JEE and NEET - 1
  • Dimensional analysis-Some basic concepts of chemistry
  • How to memorize the periodic table (In English)
  • Chemistry Notes and Books - CBSE/IIT JEE/ NEET

Contact Us

Name

Email *

Message *

Contributors

  • Chemistrixx
  • Nooru

Report Abuse

The content is copyrighted. Simple theme. Powered by Blogger.