Electrical Conductors, Arrhenius Theory and Ostwald's Dilution Law
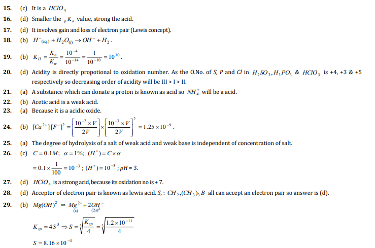
Acids and Bases
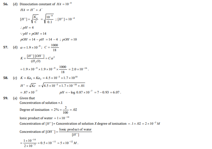
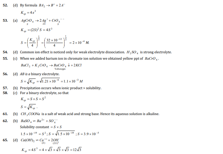
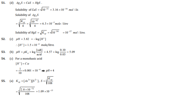
Common ion effect, Isohydric solutions, Solubility product, Ionic product of water and Salt hydrolysis
Assertion and Reason For AIIMS Aspirants
Answers Electrical conductors, Arrhenius theory and Ostwald’s dilution law
Acids and Bases
Common ion effect, Isohydric solutions, Solubility product, Ionic
product of water and Salt hydrolysis
Hydrogen ion concentration - pH scale and Buffer solution









































































































































































No comments:
Post a Comment