Significant figures, Units for measurement, Matter and Separation of a mixture
Laws of chemical combination
Atomic, Molecular and Equivalent masses
The mole concept
Percentage composition & Molecular formula
Chemical stoichiometry
CRITICAL THINKING
OBJECTIVE QUESTIONS
Answers
Significant figures, Units for measurement,
Matter and Separation of a mixture
Laws of chemical combination
Atomic, Molecular and Equivalent masses
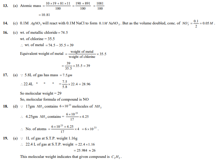
The mole concept
Chemical stoichiometry
Critical Thinking Questions
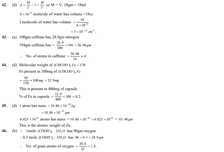
Solutions
Significant figures, Units of measurement, Matter, and Separation of a mixture
Laws of chemical combination
Atomic, Molecular and Equivalent masses
The mole concept
Percentage composition & Molecular formula
Chemical stoichiometry
Critical Thinking Questions


















































































No comments:
Post a Comment